
核药(放射性治疗药物)是利用放射性同位素进行疾病诊断和治疗的特殊药物。近两年,百时美施贵宝、阿斯利康、诺华、礼来等跨国巨头纷纷斥资几十亿美元重金收购核药公司,使这一小众领域迅速成为医药行业新热点。
作为核药的核心研发方向,放射性核素偶联药物(Radionuclide-drug conjugates,RDC)通过偶联靶向功能结构与放射性同位素实现精准治疗效果,已在市场取得巨大成功:诺华的RDC药物Pluvicto上市第三年销售额直逼14亿美元,成为一个崭新的“十亿美元分子”。
「青云瑞晶」作为一家专业的结构解析技术服务公司,已为国内多家部署了RDC药物管线的公司完成了药物分子的结构解析项目,交付了令人满意的结构数据。在这里,我们将从已上市药物的结构申报数据、中美核药法规及结构解析方法、RDC类药物的结构三部分,将我们累积的有关RDC类药物的经验分享出来,与同行探讨,共同进步。
01 从FDA申报资料看RDC的结构确证
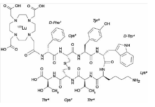
当前的核药市场一片火热,全球已有270余款RDC新药处于临床试验及申请上市阶段。这背后却隐藏着RDC分子设计的极高技术门槛。与常规XDC分子不同,RDC是一个复杂的四元复合体,结构的稳定性将直接影响放射剂量分布、靶向效率与安全性。

核药由四大核心组件构成
对RDC分子进行严谨、全面的结构确证,不仅是理解药物作用机制的基础,更是新药申请(NDA)前不可或缺的关键环节。从诺华已上市的Pluvicto和Lutathera的FDA新药申报资料可见,提供明确的结构确证数据也是获得监管批准的必经之路。
Pluvicto,用于转移性去势抵抗性前列腺癌(mCRPC)。根据FDA上可查询到的PLUVICTO提交的评审材料中,原料药部分提供了明确的结构确证数据。


Pluvicto 评审材料节选及结构图
Lutathera,适用于胃肠胰神经内分泌肿瘤(GEP-NET) 。在Lutathera的申报资料中明确表示镧系络合物的结构使用X射线晶体学(X-Ray Crystallography)研究。


国防部:中国与新加坡将举行“中新合作-2024”海上联合演习
利君股份:2024年上半年净利润降54.89%
Lutathera 评审材料节选及结构图
02 中美法规解读:结构确证是硬性要求,细节待明晰
作为全球核药研发与应用的重点市场,中美两国的法规各有侧重,对分子结构确证的要求是明确的,但针对放射性药物(尤其是RDC)的具体执行细则尚不完善,主要还以化药的指导原则为参考。随着核药研发的深入和监管经验的积累,相关法规细则有望逐步跟进。
美国FDA
美国的核药发展较早,尽管拥有相对成熟的核药管理制度,但FDA目前尚无专门针对放射性药物的结构确证法规,仅在主要的药物法规中,附加放射性药物注册申报的特殊文件要求。
近几年新出的《肿瘤学治疗放射性药物:非临床研究及标签建议》和《微剂量放射性诊断药物的非临床研究指导原则》等最新指南中,重点聚焦于临床前药理、毒理等方面的研究,对结构确证的具体方法并未明确规定,通常参照化学药物标准执行。
因此主要可参考更早时间提出的《PET药物申请-NDAs和ANDAs的内容和格式》等文件,里面明确要求药物在申请NDA前需对前体药物进行分子结构确证。
>> 美国核药相关指导性文件

引用自《一文了解中美核药最新发展现状及法律合规监管要点》
只有在较早出台的PET药物申请规范中明确了药物在申请NDA之前要针对前体药物进行分子结构确证。

《PET 药物申请-NDAs 和ANDAs 的内容和格式-2011》
中国NMPA
国内放射性药品行业起步较晚,相关法规体系仍在完善中。最新的《放射性化学仿制药药学研究技术指导原则》明确指出,药物化学前体应按照普通化学药物进行研究。
而普通化药则有明确的《化学药物原料药制备和结构确证研究的技术指导原则》作为支撑,其中明确将单晶X射线衍射(SC-XRD)技术列为确证药物分子立体结构的直接方式。
尽管该指南针对仿制药,其原则对创新药研发同样具有重要参考价值,因为在《放射性治疗药物非临床研究技术指导原则》等文件中主要关注非临床安全性和有效性,对结构研究细节着墨不多。
>> 中国核药相关规范性文件及国家标准

引用自《一文了解中美核药最新发展现状及法律合规监管要点》
尽管最新《放射性化学仿制药药学研究技术指导原则》针对仿制药,要求其药物化学前体按普通化学药物(已有明确结构确证指导)进行研究,但这对创新药也有参考价值,因为稍早的放射性治疗药物非临床研究指导原则主要关注药理毒理,并未涉及药物结构研究。

《放射性化学仿制药药学研究技术指导原则》

《放射性化学仿制药药学研究技术指导原则》
03 解析RDC结构:关键技术与解决方案
RDC结构解析的核心是看到“放射性核素-螯合剂-连接子-配体”的精确四元配位结构。根据相关指导原则,在非临床研究阶段,可使用稳定同位素标记的类似物代替放射性药物进行研究。
而单晶X射线衍射(SC-XRD)技术是确证药物分子立体结构的“金标准”,能清晰揭示放射性核素与螯合剂间的连接方式(离子键、配位键等)以及具体的配位关系。(载体一般不适合进行直接的三维结构确证,而是通过紫外光谱、红外光谱、核磁共振波谱、圆二色谱(CD)、核磁共振波谱(NMR)、晶体X-射线衍射(XRD)等获取其结构信息。)
>>青云瑞晶单晶X射线衍射解析RDC结构案例

单晶图

结构图
04 青云瑞晶解决方案:SC-XRD配合MicroED,交付RDC结构解析完美答卷
单晶X射线衍射(SC-XRD)是确证RDC中螯合-核素复合物立体结构的首选方法,但在培养单晶的过程中,有时也会遇到由于化合物分子比较复杂,无法培养出足够大尺寸的单晶用于SC-XRD分析的现象。针对这一行业痛点,青云瑞晶凭借前沿技术平台,应用MicroED(微晶电子衍射)技术作为有效的补充解决方案,为RDC类药物的结构研究提供了更便捷、高效的途径,为相关药物的研发和临床应用提供有力支持。
MicroED是基于冷冻透射电镜获得的电子衍射数据,测定晶体三维空间结构的技术。与X射线相比,其入射光束为高能电子,与晶体作用更强。因此,只需要少量微纳米级(>0.1um)的晶粒就可以快速、高效地获得高分辨率的衍射数据,大幅降低了对样品形状纯度和尺寸的要求。仅需具备结晶性的微晶或粉末样品即可进行高分辨率结构解析。
>>青云瑞晶MicroED解析RDC结构案例

粉末样品图

结构图
>>青云瑞晶已解析RDC种类

05 青云瑞晶:您的RDC结构确证专家
核药的黄金赛道已火热开启,结构确证是该类药物研发申报中必不可少的一环。
▶ 全面的技术平台:拥有单晶X射线衍射、MicroED两大结构解析技术平台,覆盖RDC类药物各类结构确证需求,包括常规及高难度场景,最大化项目成功率
▶ 深厚的经验赋能:已成功解析多种类型RDC分子(涵盖不同放射性核素、螯合剂及配体组合),熟悉技术难点与法规要求,能为您的项目提供精准高效的支持。
▶ 高效的交付保障:专业团队科学分工,流程高度优化,确保项目周期严格可控,交付结果专业、精确、可靠。
青云瑞晶以技术为矛、以经验为盾配资炒股合法网站,助力各大药企突破结构表征瓶颈,加速药物研发与申报进程。
下一篇:没有了